MA.1.2 数列极限

2023.10.7 - 2023.10.10

εN定义

数列收敛的 #epsilon-N定义

{an}a ε>0,NN,使n>N,

|ana|<ε

Tips: εN,N(ε)^bc7721

技巧:怎样证明极限

直接法

适当放大法

#适当放大法 用于:不能解、解很复杂

  1. 设小于1的某个复杂常数
    Eg. 2nn!0
  2. 合并、拆分=>凑出能约分的常见极限
    Eg. n2+n+97n390
    证:n2+n+9|7n39|<n2+n2+n2|7n39|9n2  n>3<3n2|6n3+n39| n39>0, <12n200
    此时应该取N=max{3,[1ϵ]+1},下略
  3. 不等式、二项式等公式
    Eg. limnn=1(n>1)
    Pasted image 20231009113918.png
  4. 放缩==(抓大放小)== + #收敛数列夹逼性
    Eg.a1n+a2n++amnn=max{a1n+a2n++amn}

收敛数列的性质

写在前面:

Tips

  • 注意讨论分母是否为0
  • 注意讨论极限是否存在
  • 适当讨论是否为0可以化简/求出部分
  • 极限差为0而商不一定为1(a=0不行,a0为1(国科大讲义P3)

Contents

not available in web

奇奇怪怪但是很重要的东西

数列重要极限

limC=C

lim1nk=0,k>0

limqn=0,|q|<1

liman=1,a>0

limann!=0

limnn=1

证明见#二项式定理

函数重要极限

  • limxx0f(x)=f(x0) 连续
  • limx0ax=1 教材P38 注意左右极限相等
  • limxx0ax=ax0
  • limxx0lnx=lnx0(其他底数可以使用换底公式)
  • lim0sin=1, limsin=0(利用 cosx<sinxx<1
  • limx0(x)sin()=0 夹逼定理
  • lim(1+1)=e, lim0(1+)1=e
    (利用(1+1[x]+1)[x]<(1+1x)x<(1+1[x])[x]+1[x]x<[x]+1

函数等价无穷小

x0{xsinxtanxln(1+x)ex11cosx12x2x2±x3x2(1+x)α1+αxarctanxx

如:看到1+x2112x2

x0 次数高=作用小

x{x2+x3x3

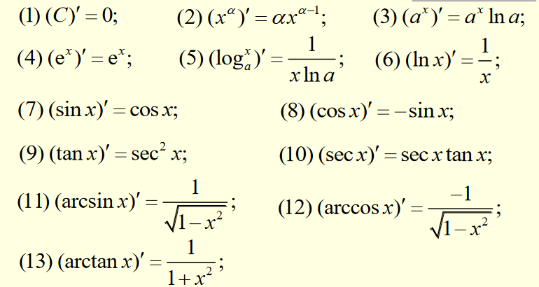
基本导数表

Pasted image 20231107164802.png


奇奇怪怪的公式

二项式定理

limnn=1(n>1)

Pasted image 20231009113918.png

#和差化积

绝对值不等式

|a+b||a|+|b|, a,b

推广:

|a1+a2++an||a1|+|an|, ai

||a||b|||ab||a|+|b|

||

两边之差小于第三边 + 两边之和大于第三边

伯努利不等式、均值不等式

Bernoulli 不等式

(1+x)n1+nx

均值不等式(AGH不等式)

G:最适用于 不全相同但接近
n1x1+1x2++1xnx1x2x3xnnx1+x2+x3xnnx1=x2=x3==xn

例题4:en=(1+1n)n. {en}en<4.
证明:en=(1+1n)(1+1n)(1+1n)1<(n(1+1n)+1n+1)n+1=(n+2n+1)n+1=(1+1n+1)n+1=en+1en=4[(1+1n)(1+1n)(1+1n)1212]<4(n(1+1n)+12+12n+2)n+2=4

e的泰勒展开

limnnsin(2πn!e)=?

解:
由泰勒公式:e=1+11!+12!++1n!+1(n+1)!+θn+1(n+1)!(n+1)(0<θn+1<1)

[n!e=n!(1+11!+12!++1n!)整数部分舍弃+n!(n+1)!+n!θn+1(n+1)!(n+1)]
limnnsin(2πen!)=limnnsin[2πen!2πn!(1+11!+12!++1n!)sin(x±2kπ)=sinx,kZ]=limnnsin[2πn+1+θn+1(n+1)2]=limnn(2πn+1+θn+1(n+1)2)=2π

奇奇怪怪的证明

#极限与无穷小的转化

Example

liman=a, limbn=b,
试证明: lima1bn+a2bn1++anb1n=ab


#极限与无穷小的转化 + #Cauchy第一定理
证:

e812811aa353ae5d66ae80cd14f5c285.jpeg

#收敛数列保号性

极限除法

#epsilon-N定义 + #收敛数列保号性

证明:
N1N,

使n>N1, |bn|>|b|2 #收敛数列保号性

liman=a

ε>0, N2N, n>N2,

使|ana|<|b|4ε()

, N3N, n>N3,

使|bnb|<b24|a|+1ε()

|anbnab|<ε

=|banabn||bbn

=|anbab+ababn||bbn| #分子拆分

|b||ana|+|a||bnb||bbn|

=|ana|bn|+|a||bbn|

运用 #收敛数列保号性|bn|>b2
<2|b||ana|+2|a|b2|bnb|

<2|b||b|4ε()+2|a|b2b24|a|+1()

<ε

开方

limanm=am, (a>0,mN+)

证明:
|an3a3|=|ana|an3+a3<\dfrac{|a_{n}-a|}{a_{n}^\frac23+a_{n}^\frac13a^\frac13+a^\frac23}<\dfrac{|a_{n}-a|}{a^\frac23}$

an13a13可以存在运用了 #收敛数列保号性

More about: #次方差展开

#次方差展开

anbn=(ab)i=0n1aibn1i=(ab)(bn1+abn2+a2bn3++an3b2+an2b+an1)=(ab)(a0bn1+a1bn2++an2b1+an1b0)

证明:

anbn=bn[(ab)n1]=bn(ab1)i=0n1(ab)i=(abb)bni=0n1(ab)i=(ab)bn1i=0n1(ab)i=(ab)i=0n1bn1(ab)i=(ab)i=0n1aibn1i

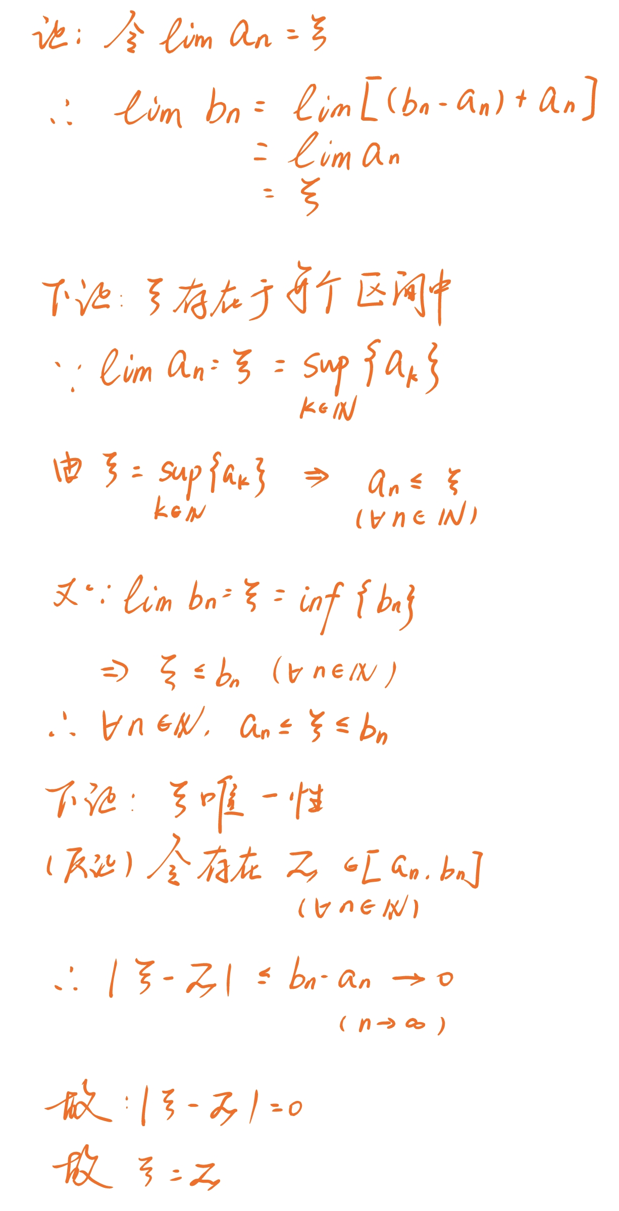
#实数公理 -> #确界原理

 Y={y|yx,xX} MY, xX, yY xY: aR使 xX, yY, xay(Δ): a=supXxX, xaε>0, aε<aaε<ayaεyaεXε>0, xεX, 使 aε<xε

#调和级数

思路: #基本列pε 的任意性 + 放缩 + #Cauchy收敛准则

Pasted image 20231018223218.png

单调数列+发散=>发散到正无穷

#和差化积 + 极限

例题:证明 limxx0cosx=cosx0

证:
|cosxcosx0|=|2×sinxx02×sinx+x02|2×|sinxx02|2×|xx02|=|xx0|<ε

ε>0, δ>0: |xx0|<δ

e γ

自然常数与欧拉常数

Example 17

en=(1+1n)n

Pasted image 20231012191931.png

en=(1+1n)(1+1n)(1+1n)1<(n(1+1n)+1n+1)n+1=(n+2n+1)n+1=(1+1n+1)n+1=en+1en=4[(1+1n)(1+1n)(1+1n)1212]<4(n(1+1n)+12+12n+2)n+2=4

e=2.718 - 自然对数的底数,无理数,超越数(非代数数)
超越数(非代数数)的数量远远多于代数数

重要关系
en=(1+1n)n<e<(1+1n)n+1=xn

以上命题取对数后等价于:nln(1+1n)<1<(n+1)ln(1+1n)

简证:左边已经证明,右边 (1+1n)n+1=(1+1n)n(1+1n)

Note

  • 极限还与数的域有关,有理数域的极限的运算不封闭
  • 有理数的数列极限可以构造无理数
  • 运用:
  • Pasted image 20231012193618.png
  • lim(1+1n2)3n2=lim[(1+1n2)n2]3=e3
  • ※重要 γ=0.577 1: #欧拉常数
  • Pasted image 20231013002047.png

#构造辅助函数

证明方程xlnx=1(0,+)
即:xlnx1=0有解
简证:
存在性: #零值定理 1,e
唯一性: lnx1x单调!
下略

任何奇次多项式至少有一个实零点


奇奇怪怪的方法

如何证明数列收敛

#单调有界定理

#子数列归并性定理

#Cauchy收敛准则

{an}{an}

发散<=>非基本列<=>ε>0, NN+, n>N, pN+|an+pan|ε

如何求解数列极限

简化证明

数列极限的简化证明方法

 an  a  0<q<1 :
|an+1a|q|ana|(nN+)
liman=a
|ana|q|an1a|qn1|a1a|0
liman=a

Tips: q 只能为绝对常数,如果 q 含有其他变量,可以通过放缩得到绝对常数

Example

a1=1, an+1=11+an, liman

  • 思路1:奇子列↓有下界,偶子列↑有上界
  • 极限不能设为相同的,需要分别设出再证明相等
  • 思路2:简化+放缩

#epsilon-N定义

技巧:怎样证明极限

直接法

适当放大法

#适当放大法 用于:不能解、解很复杂

  1. 设小于1的某个复杂常数
    Eg. 2nn!0
  2. 合并、拆分=>凑出能约分的常见极限
    Eg. n2+n+97n390
    证:n2+n+9|7n39|<n2+n2+n2|7n39|9n2  n>3<3n2|6n3+n39| n39>0, <12n200
    此时应该取N=max{3,[1ϵ]+1},下略
  3. 不等式、二项式等公式
    Eg. limnn=1(n>1)
    Pasted image 20231009113918.png
  4. 放缩==(抓大放小)== + #收敛数列夹逼性
    Eg.a1n+a2n++amnn=max{a1n+a2n++amn}

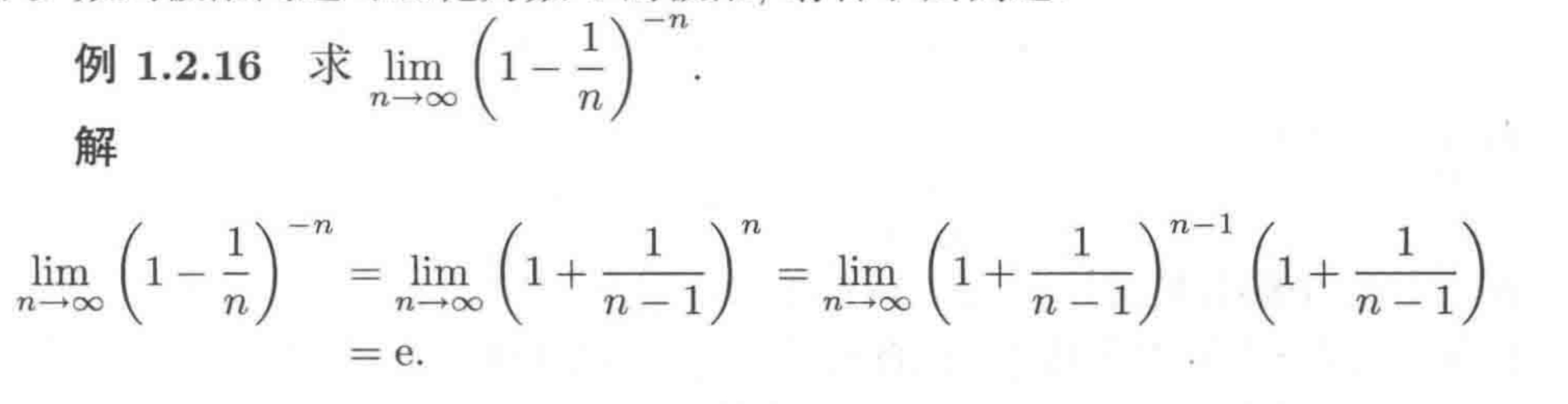
#Stolz定理

Stolz
{an}, {bn}, {bn}+.
liman+1anbn+1bn=A

limanbn=A
其中A可以是 实数(有界数) / + / 只能是定号无穷

Cauchy定理

算数平均

liman=alima1+a2++ann=a
逆命题不成立:an=(1)n 


证明: An=a1++an, Bn=n 即可

几何平均

Corollary

an>0,liman=alima1a2ann=a

连乘

an>0,limanan1=alimann=a

#夹逼定理

见下

如何证明函数极限存在

#Heine归并定理

f(x)xx0
x0{an} (anx0)\lim\limits_{n\to x_{0}}f(a_{n})=l$

#单调函数单侧极限定理

fU˚(x0),f(x0±0), limxx0f(x)
证明只需要在(a,x0), (x0,b)运用 #单调函数极限定理 即可

#Cauchy判别准则

limxx0f(x)
ε>0,δ>0,x,xU˚(x0,δ): |f(x)f(x)|<ε
其他五种极限不再赘述

如何求解函数极限

#夹逼定理

见下

幂指函数

幂指函数极限

  • #e的转化
    lim(f(x))g(x)=limeg(x)lnf(x)=elimg(x)lnf(x)
    简证:第二个等号运用了 #变量代换u=g(x)lnf(x), limuu0eu=eu0=elim(uu0)u
  • #幂指同时取极限
    limf(x)=A>0, limg(x)=BR,  limf(x)g(x)=AB
    简证:limf(x)g(x)=elimg(x)lnf(x)=eBlnA=AB
  • #1∞形不定式
    limf(x)=1, limg(x)=,  limf(x)g(x)=elim[f(x)1]g(x)
    简证:limf(x)g(x)=lim{(1+f(x)1)1f(x)1}[f(x)1]g(x)
    运用 #幂指同时取极限=elim[f(x)1]g(x)

Example

limx0[a1x+a2x+.....+anxn]1x=(a1a2an)1n
#e的转化

解:
L:=limx0eln(a1x++anx)lnnx
=elimx0ln(a1x++anx)lognx

法一:
#LHospital法则
limx0ln(a1x++anx)lnnx
=limx0(ln())1
=limx0a1xloga1++anxlogana1x++anx
=limx0lna1+lna2++lnann
=
Therefore,
L=e1nln(a1a2an)
=(a1a2an)1n

法二:

想不到的放缩与 #夹逼定理

夹逼定理的规范使用

  • 写出不等式
  • 判断敛散性
  • 带入lim符号

不能对极限直接比较大小

  • (1+1n+2)n(1+1n1n2)n<(1+1n)n, n2
    • (1+1n1n2)ne
  • n!nne
    • Taylor: en=1+n+n22!++nnn!nnn!

奇奇怪怪

又神秘的东西

如何定义一个开集

xAδ>0,C(x,δ)A(O(x,δ)=Δ{y|||xy||<δ})[a,b]a[a,b]ε>0,(aε,a+ε),(aε,a)[a,b](0,1)n=1(0,1n)

线性空间满足八条原则

什么是数域?

什么是拓扑空间?

X,FxF,xFU,VF,UVFUαF,αI,I,αIUαFF

1,2,3...:可以排序:可数、可列
[0,1]R:不可数、不可列

连续统假设

[0,1]N02N0

Reference:《实变函数论》


序结构:分析学

代数结构:代数学

拓扑结构:几何学

区域不变性

数分观点下的不动点

fC[a,b],f([a,b])[a,b]
ξ[a,b],使f(ξ)=ξ([a,b])

Example

f(x)x,αn<x0<βn, limnαn=limnβn=x0
:limnf(βn)f(αn)βnαn=f(x0)

Solution:

#添项
f(βn)f(αn)βnαn=f(βn)f(x0)+f(x0)f(αn)βnαn=β0x0βnαnf(βn)f(x0)βnx0f(βn)f(αn)βnαnf(βn)f(αn)βnαn

Example

f(x),g(x),h(x)C[a,b]D[a,b],
|f(a)g(a)h(a)f(b)g(b)h(b)f(ξ)g(ξ)h(ξ)|=0

Solution:

F(x):=|f(a)g(a)h(a)f(b)g(b)h(b)f(x)g(x)h(x)|

Example

f(x)[a,b],f(a)=f(b),:
M(x)=supatxf(t), m(x)=infatxf(t)
[a,b]

一些常考 Theorem

需要掌握从实数公理推到每一个Th
以及Th之间互推!

  1. Declekind分割原理
  2. 确界限存在原理
  3. 单调有界原理
  4. 区间套定理
  5. 有限覆盖定理
  6. 聚点定理
  7. 有界数列必有收敛子列
  8. Cauchy收敛准则

- 适用条件
1. 极限存在 => 注意讨论
2. 有限项

n充分大时

  • 存在正整数N,当n>N
  • n+

子数列

Note

  1. 子列{ank}k的函数,而不是n的函数
  2. 子奇列{a2k1}

实数连续性定理

确界原理

写在前面:

Tips

  • 注意讨论分母是否为0
  • 注意讨论极限是否存在
  • 适当讨论是否为0可以化简/求出部分
  • 极限差为0而商不一定为1(a=0不行,a0为1(国科大讲义P3)

Contents

not available in web

奇奇怪怪但是很重要的东西

数列重要极限

limC=C

lim1nk=0,k>0

limqn=0,|q|<1

liman=1,a>0

limann!=0

limnn=1

证明见#二项式定理

函数重要极限

  • limxx0f(x)=f(x0) 连续
  • limx0ax=1 教材P38 注意左右极限相等
  • limxx0ax=ax0
  • limxx0lnx=lnx0(其他底数可以使用换底公式)
  • lim0sin=1, limsin=0(利用 cosx<sinxx<1
  • limx0(x)sin()=0 夹逼定理
  • lim(1+1)=e, lim0(1+)1=e
    (利用(1+1[x]+1)[x]<(1+1x)x<(1+1[x])[x]+1[x]x<[x]+1

函数等价无穷小

x0{xsinxtanxln(1+x)ex11cosx12x2x2±x3x2(1+x)α1+αxarctanxx

如:看到1+x2112x2

x0 次数高=作用小

x{x2+x3x3

基本导数表

Pasted image 20231107164802.png


奇奇怪怪的公式

二项式定理

limnn=1(n>1)

Pasted image 20231009113918.png

#和差化积

绝对值不等式

|a+b||a|+|b|, a,b

推广:

|a1+a2++an||a1|+|an|, ai

||a||b|||ab||a|+|b|

||

两边之差小于第三边 + 两边之和大于第三边

伯努利不等式、均值不等式

Bernoulli 不等式

(1+x)n1+nx

均值不等式(AGH不等式)

G:最适用于 不全相同但接近
n1x1+1x2++1xnx1x2x3xnnx1+x2+x3xnnx1=x2=x3==xn

例题4:en=(1+1n)n. {en}en<4.
证明:en=(1+1n)(1+1n)(1+1n)1<(n(1+1n)+1n+1)n+1=(n+2n+1)n+1=(1+1n+1)n+1=en+1en=4[(1+1n)(1+1n)(1+1n)1212]<4(n(1+1n)+12+12n+2)n+2=4

e的泰勒展开

limnnsin(2πn!e)=?

解:
由泰勒公式:e=1+11!+12!++1n!+1(n+1)!+θn+1(n+1)!(n+1)(0<θn+1<1)

[n!e=n!(1+11!+12!++1n!)整数部分舍弃+n!(n+1)!+n!θn+1(n+1)!(n+1)]
limnnsin(2πen!)=limnnsin[2πen!2πn!(1+11!+12!++1n!)sin(x±2kπ)=sinx,kZ]=limnnsin[2πn+1+θn+1(n+1)2]=limnn(2πn+1+θn+1(n+1)2)=2π

奇奇怪怪的证明

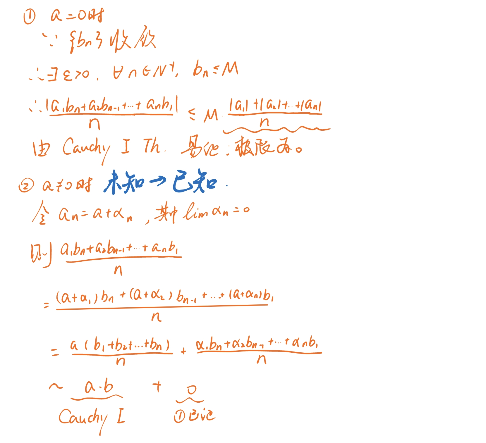
#极限与无穷小的转化

Example

liman=a, limbn=b,
试证明: lima1bn+a2bn1++anb1n=ab


#极限与无穷小的转化 + #Cauchy第一定理
证:

e812811aa353ae5d66ae80cd14f5c285.jpeg

#收敛数列保号性

极限除法

#epsilon-N定义 + #收敛数列保号性

证明:
N1N,

使n>N1, |bn|>|b|2 #收敛数列保号性

liman=a

ε>0, N2N, n>N2,

使|ana|<|b|4ε()

, N3N, n>N3,

使|bnb|<b24|a|+1ε()

|anbnab|<ε

=|banabn||bbn

=|anbab+ababn||bbn| #分子拆分

|b||ana|+|a||bnb||bbn|

=|ana|bn|+|a||bbn|

运用 #收敛数列保号性|bn|>b2
<2|b||ana|+2|a|b2|bnb|

<2|b||b|4ε()+2|a|b2b24|a|+1()

<ε

开方

limanm=am, (a>0,mN+)

证明:
|an3a3|=|ana|an3+a3<\dfrac{|a_{n}-a|}{a_{n}^\frac23+a_{n}^\frac13a^\frac13+a^\frac23}<\dfrac{|a_{n}-a|}{a^\frac23}$

an13a13可以存在运用了 #收敛数列保号性

More about: #次方差展开

#次方差展开

anbn=(ab)i=0n1aibn1i=(ab)(bn1+abn2+a2bn3++an3b2+an2b+an1)=(ab)(a0bn1+a1bn2++an2b1+an1b0)

证明:

anbn=bn[(ab)n1]=bn(ab1)i=0n1(ab)i=(abb)bni=0n1(ab)i=(ab)bn1i=0n1(ab)i=(ab)i=0n1bn1(ab)i=(ab)i=0n1aibn1i

#实数公理 -> #确界原理

 Y={y|yx,xX} MY, xX, yY xY: aR使 xX, yY, xay(Δ): a=supXxX, xaε>0, aε<aaε<ayaεyaεXε>0, xεX, 使 aε<xε

#调和级数

思路: #基本列pε 的任意性 + 放缩 + #Cauchy收敛准则

Pasted image 20231018223218.png

单调数列+发散=>发散到正无穷

#和差化积 + 极限

例题:证明 limxx0cosx=cosx0

证:
|cosxcosx0|=|2×sinxx02×sinx+x02|2×|sinxx02|2×|xx02|=|xx0|<ε

ε>0, δ>0: |xx0|<δ

e γ

自然常数与欧拉常数

Example 17

en=(1+1n)n

Pasted image 20231012191931.png

en=(1+1n)(1+1n)(1+1n)1<(n(1+1n)+1n+1)n+1=(n+2n+1)n+1=(1+1n+1)n+1=en+1en=4[(1+1n)(1+1n)(1+1n)1212]<4(n(1+1n)+12+12n+2)n+2=4

e=2.718 - 自然对数的底数,无理数,超越数(非代数数)
超越数(非代数数)的数量远远多于代数数

重要关系
en=(1+1n)n<e<(1+1n)n+1=xn

以上命题取对数后等价于:nln(1+1n)<1<(n+1)ln(1+1n)

简证:左边已经证明,右边 (1+1n)n+1=(1+1n)n(1+1n)

Note

  • 极限还与数的域有关,有理数域的极限的运算不封闭
  • 有理数的数列极限可以构造无理数
  • 运用:
  • Pasted image 20231012193618.png
  • lim(1+1n2)3n2=lim[(1+1n2)n2]3=e3
  • ※重要 γ=0.577 1: #欧拉常数
  • Pasted image 20231013002047.png

#构造辅助函数

证明方程xlnx=1(0,+)
即:xlnx1=0有解
简证:
存在性: #零值定理 1,e
唯一性: lnx1x单调!
下略

任何奇次多项式至少有一个实零点


奇奇怪怪的方法

如何证明数列收敛

#单调有界定理

#子数列归并性定理

#Cauchy收敛准则

{an}{an}

发散<=>非基本列<=>ε>0, NN+, n>N, pN+|an+pan|ε

如何求解数列极限

简化证明

数列极限的简化证明方法

 an  a  0<q<1 :
|an+1a|q|ana|(nN+)
liman=a
|ana|q|an1a|qn1|a1a|0
liman=a

Tips: q 只能为绝对常数,如果 q 含有其他变量,可以通过放缩得到绝对常数

Example

a1=1, an+1=11+an, liman

  • 思路1:奇子列↓有下界,偶子列↑有上界
  • 极限不能设为相同的,需要分别设出再证明相等
  • 思路2:简化+放缩

#epsilon-N定义

技巧:怎样证明极限

直接法

适当放大法

#适当放大法 用于:不能解、解很复杂

  1. 设小于1的某个复杂常数
    Eg. 2nn!0
  2. 合并、拆分=>凑出能约分的常见极限
    Eg. n2+n+97n390
    证:n2+n+9|7n39|<n2+n2+n2|7n39|9n2  n>3<3n2|6n3+n39| n39>0, <12n200
    此时应该取N=max{3,[1ϵ]+1},下略
  3. 不等式、二项式等公式
    Eg. limnn=1(n>1)
    Pasted image 20231009113918.png
  4. 放缩==(抓大放小)== + #收敛数列夹逼性
    Eg.a1n+a2n++amnn=max{a1n+a2n++amn}

#Stolz定理

Stolz
{an}, {bn}, {bn}+.
liman+1anbn+1bn=A

limanbn=A
其中A可以是 实数(有界数) / + / 只能是定号无穷

Cauchy定理

算数平均

liman=alima1+a2++ann=a
逆命题不成立:an=(1)n 


证明: An=a1++an, Bn=n 即可

几何平均

Corollary

an>0,liman=alima1a2ann=a

连乘

an>0,limanan1=alimann=a

#夹逼定理

见下

如何证明函数极限存在

#Heine归并定理

f(x)xx0
x0{an} (anx0)\lim\limits_{n\to x_{0}}f(a_{n})=l$

#单调函数单侧极限定理

fU˚(x0),f(x0±0), limxx0f(x)
证明只需要在(a,x0), (x0,b)运用 #单调函数极限定理 即可

#Cauchy判别准则

limxx0f(x)
ε>0,δ>0,x,xU˚(x0,δ): |f(x)f(x)|<ε
其他五种极限不再赘述

如何求解函数极限

#夹逼定理

见下

幂指函数

幂指函数极限

  • #e的转化
    lim(f(x))g(x)=limeg(x)lnf(x)=elimg(x)lnf(x)
    简证:第二个等号运用了 #变量代换u=g(x)lnf(x), limuu0eu=eu0=elim(uu0)u
  • #幂指同时取极限
    limf(x)=A>0, limg(x)=BR,  limf(x)g(x)=AB
    简证:limf(x)g(x)=elimg(x)lnf(x)=eBlnA=AB
  • #1∞形不定式
    limf(x)=1, limg(x)=,  limf(x)g(x)=elim[f(x)1]g(x)
    简证:limf(x)g(x)=lim{(1+f(x)1)1f(x)1}[f(x)1]g(x)
    运用 #幂指同时取极限=elim[f(x)1]g(x)

Example

limx0[a1x+a2x+.....+anxn]1x=(a1a2an)1n
#e的转化

解:
L:=limx0eln(a1x++anx)lnnx
=elimx0ln(a1x++anx)lognx

法一:
#LHospital法则
limx0ln(a1x++anx)lnnx
=limx0(ln())1
=limx0a1xloga1++anxlogana1x++anx
=limx0lna1+lna2++lnann
=
Therefore,
L=e1nln(a1a2an)
=(a1a2an)1n

法二:

想不到的放缩与 #夹逼定理

夹逼定理的规范使用

  • 写出不等式
  • 判断敛散性
  • 带入lim符号

不能对极限直接比较大小

  • (1+1n+2)n(1+1n1n2)n<(1+1n)n, n2
    • (1+1n1n2)ne
  • n!nne
    • Taylor: en=1+n+n22!++nnn!nnn!

奇奇怪怪

又神秘的东西

如何定义一个开集

xAδ>0,C(x,δ)A(O(x,δ)=Δ{y|||xy||<δ})[a,b]a[a,b]ε>0,(aε,a+ε),(aε,a)[a,b](0,1)n=1(0,1n)

线性空间满足八条原则

什么是数域?

什么是拓扑空间?

X,FxF,xFU,VF,UVFUαF,αI,I,αIUαFF

1,2,3...:可以排序:可数、可列
[0,1]R:不可数、不可列

连续统假设

[0,1]N02N0

Reference:《实变函数论》


序结构:分析学

代数结构:代数学

拓扑结构:几何学

区域不变性

数分观点下的不动点

fC[a,b],f([a,b])[a,b]
ξ[a,b],使f(ξ)=ξ([a,b])

Example

f(x)x,αn<x0<βn, limnαn=limnβn=x0
:limnf(βn)f(αn)βnαn=f(x0)

Solution:

#添项
f(βn)f(αn)βnαn=f(βn)f(x0)+f(x0)f(αn)βnαn=β0x0βnαnf(βn)f(x0)βnx0f(βn)f(αn)βnαnf(βn)f(αn)βnαn

Example

f(x),g(x),h(x)C[a,b]D[a,b],
|f(a)g(a)h(a)f(b)g(b)h(b)f(ξ)g(ξ)h(ξ)|=0

Solution:

F(x):=|f(a)g(a)h(a)f(b)g(b)h(b)f(x)g(x)h(x)|

Example

f(x)[a,b],f(a)=f(b),:
M(x)=supatxf(t), m(x)=infatxf(t)
[a,b]

一些常考 Theorem

需要掌握从实数公理推到每一个Th
以及Th之间互推!

  1. Declekind分割原理
  2. 确界限存在原理
  3. 单调有界原理
  4. 区间套定理
  5. 有限覆盖定理
  6. 聚点定理
  7. 有界数列必有收敛子列
  8. Cauchy收敛准则

- #确界原理 -> #实数公理

单调有界

单调数列:有对应的界<=>收敛^31cae5

数列极限的简化证明方法

 an  a  0<q<1 :

|an+1a|q|ana|(nN+)

liman=a

|ana|q|an1a|qn1|a1a|0

liman=a

Tips: q 只能为绝对常数,如果 q 含有其他变量,可以通过放缩得到绝对常数

Example

a1=1, an+1=11+an, liman

  • 思路1:奇子列↓有下界,偶子列↑有上界
  • 极限不能设为相同的,需要分别设出再证明相等
  • 思路2:简化+放缩

自然常数与欧拉常数

Example 17

en=(1+1n)n

Pasted image 20231012191931.png

en=(1+1n)(1+1n)(1+1n)1<(n(1+1n)+1n+1)n+1=(n+2n+1)n+1=(1+1n+1)n+1=en+1en=4[(1+1n)(1+1n)(1+1n)1212]<4(n(1+1n)+12+12n+2)n+2=4

e=2.718 - 自然对数的底数,无理数,超越数(非代数数)
超越数(非代数数)的数量远远多于代数数

重要关系
en=(1+1n)n<e<(1+1n)n+1=xn

以上命题取对数后等价于:nln(1+1n)<1<(n+1)ln(1+1n)

简证:左边已经证明,右边 (1+1n)n+1=(1+1n)n(1+1n)

Note

  • 极限还与数的域有关,有理数域的极限的运算不封闭
  • 有理数的数列极限可以构造无理数
  • 运用:
  • Pasted image 20231012193618.png
  • lim(1+1n2)3n2=lim[(1+1n2)n2]3=e3
  • ※重要 γ=0.577 1: #欧拉常数
  • Pasted image 20231013002047.png

(闭)区间套定理

#区间套定理

Theorem

Pasted image 20231012235221.png
Pasted image 20231012235234.png

Bolzano-Weierestrass 定理

#BW定理 列紧性定理 致密性定理

有界数列必存在收敛子列
可以是多个极限不同的数列

基本列

#基本列 / Cauchy列

ε, N=N(ε), 使 m,n>N,

|anam|<ε

#基本列 的带 p 形式

ε, N, 使n>N,

|an+pan|<ε

 p 

Cauchy收敛准则

{an}{an}

发散<=>非基本列<=>ε>0, NN+, n>N, pN+|an+pan|ε

基本列 与 pN+, lim|an+pan|=0 不等价

  1. 基本列: N(ε) , 对任意 p 都成立
     ε>0,  N(ε)N,  n>N,  pN+,  |an+pan|<ε
  2. 普通极限: N(p, ε) , p 为给定的, 数列本身带有参数
     ε>0,  pN+,  N(p, ε)N,  n>N,  |an+pan|<ε
  • 基本列 普通极限

无穷大与无穷小

无穷小(量)

Definition

liman=0

则称{an}为无穷大(量)

Property

  1. 有限个无穷小之和为无穷小
  2. 无穷小乘以有界量仍为无穷小

limsinnn=0; 不能写为=limsinn×lim1n (sinn极限不存在)

  1. 有限个无穷小之积仍为无穷小
Proposition

#极限与无穷小的转化

{an} aR  {αn}, 使 an=a+αn
  • 理解
    • "摘掉极限的帽子", 可以让极限参与运算
    • 极限为 a, 说明本身与 a 只相差无穷小

证明:

充分性: $$\begin{align*}令&\lim a_{n}=a \Rightarrow\lim(a_{n}-a)=0\&a_{n}=a+(a_{n}-a)\overset{def}{=}a+\alpha_{n}\其中&\lim \alpha_{n}=0\\therefore &\lim a_n=a\end{align*}$$
必要性是显然的

无穷大(量)

M>0, NN, n>N, |an|>M

则称{an}为无穷大(量), 记为liman=

发散到无穷大, 趋于正无穷

收敛, 极限为+

Theorem

无穷大与无穷小为倒数关系(an0)

Theorem

单调数列发散到无穷大的充分必要条件是其为一个无界数列

Theorem

  • 单调递增且无上界的数列必然发散到正无穷大
  • 单调递减且无下界的数列必然发散到负无穷大
  • 单调数列要么收敛, 要么发散到无穷大

证明:
Pasted image 20231017185024.png

Stolz定理

Stolz
{an}, {bn}, {bn}+.

liman+1anbn+1bn=A

limanbn=A

其中A可以是 实数(有界数) / + / 只能是定号无穷

Theorem

00Stolz (适用范围较窄)
{an}, {bn}0, {bn}.

liman+1anbn+1bn=A

limanbn=A

其中A可以是 实数(有界数) / + / 只能是定号无穷

Cauchy定理

liman=alima1+a2++ann=a

逆命题不成立:an=(1)n 


证明: An=a1++an, Bn=n 即可

Corollary

an>0,liman=alima1a2ann=a

an>0,limanan1=alimann=a

Example

liman=a, limbn=b,
试证明: lima1bn+a2bn1++anb1n=ab


#极限与无穷小的转化 + #Cauchy第一定理
证:

e812811aa353ae5d66ae80cd14f5c285.jpeg